Counting Rules
Whether we want to find out in how many ways can a coach select 4 forward soccer players from a group of 7 players; or how many groups of 6 numbers can be randomly drawn from a collection of 49 different numbers; or in how many ways can 10 trees be planted, counting (combinatorial) methods can help extraordinarily. The following sections present basic counting rules and cases.
Consider two experiments where the first one produces j outcomes and the second one results in k outcomes. If you combine the two experiments so that each outcome of the first experiment comes up with each outcome of the second experiment then there will be a total of j · k [paired] outcomes. One can extend this rule to more than 2 experiments. The total number of outcomes of m experiments, each having ni, i = 1, 2, ..., m , possible outcomes (simple events) is equal
n1 · n2 · ... · nm.
n1 · n2 · ... · nm.
Example - Product Rule:
Combined experiments of Flipping a Fair Coin, with Sample Space {H, T}, and Rolling a Fair Die with Sample Space {1, 2, 3, 4, 5, 6}, have 2 · 6 = 12 outcomes (simple events). Each side (H, T) of the coin is combined with each number of the die (1, 2, 3, 4, 5, 6).
|
This multiplication syndrome can also be visualized as a tree, where nodes represent experiments and branches symbolize simple events.
If H comes out in the first experiment, it can be followed by any of the 6 numbers of the second experiment. The same can be said about the T outcome of the first experiment.
It is easy to learn from the tree why this multiplication rule works. As expected, the leaves of the tree show all possible arrangements of the outcomes (simple events) of the experiments. They constitute the Sample Space of the combined experiments, S = { (H,1), (H,2), (H,3), (H,4), (H,5), (H,6), (T,1), (T,2), (T,3), (T,4), (T,5), (T,6) }.
If we were interested in assessing the probability of Heads (H) combined with an odd number to come out we would notice that 3 out of 12 simple events, {(H,1), (H,3), (H,5)} satisfy such an event. Thus the probability of this event would be 3/12 = 1/4.
|
![]() |
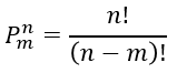
In how many ways can a set of n elements be arranged in terms of the order of the elements? The total number of such arrangements (permutations) is equal to:.
Pn = 1 · 2 · ...· n = n!
Notation n! is an n factorial. One element (a) can be arranged in 1 way, {(a)}, P1 = 1. Adding a second element (b) will double the number of the arrangements {(ab), (ba)}, P2 = 1·2. A third element (c) will triple the number of already existing arrangements {(cab), (acb), (abc), (cba), (bca), (bac)} , P3 = 1·2·3, etc.
Example - Full-set Permutations:
In how many ways can be letters of word "GOLF" be arranged. Since word GOLF consists of n = 4 letters, the number of the permutations is n! = 5!= 120.
# R Code
n = 4
factorial(n)
factorial(n)
[1] 24
How can we visualize these permutations (arrangements)? There is a package called "combinat" the can help us. First, we need to install it. Next, the package (library) is to be opened.
# Add package "combinat" to R.
install.packages("combinat")
# Open package "combinat".
library(combinat)
# Define word GOLF.
word = "GOLF"
word
word
[1] "GOLF"
# We will use function permn of library combinat to list all [full-set] permutations
# of a set of characters contained in string word.
# Since function perm deals with vectors of elements, we need to convert string "GOLF"
# to a vector of characters. To this end we can use function split (built-in R) which
# returns a list object.
# of a set of characters contained in string word.
# Since function perm deals with vectors of elements, we need to convert string "GOLF"
# to a vector of characters. To this end we can use function split (built-in R) which
# returns a list object.
lword = strsplit(word, "")
lword
lword
[[1]]
[1] "G" "O" "L" "F"
[1] "G" "O" "L" "F"
# We got a list consisting of one element (recall that list elements are accessed
# using the double-bracket notation. We can retrieve the first element as a vector
# by using index 1 of the list ([[1]]).
# using the double-bracket notation. We can retrieve the first element as a vector
# by using index 1 of the list ([[1]]).
vword = lword[[1]]
vword
vword
[1] "G" "O" "L" "F"
# Having our word represented as a vector word (vword), we can use it
# to generate all possible [full-set] permutations of the vword set (vector).
# to generate all possible [full-set] permutations of the vword set (vector).
pwords_aslist = permn(vword)
pwords_aslist
pwords_aslist
|
[[1]]
[1] "G" "O" "L" "F" [[2]] [1] "G" "O" "F" "L" [[3]] [1] "G" "F" "O" "L" [[4]] [1] "F" "G" "O" "L" [[5]] [1] "F" "G" "L" "O" [[6]] [1] "G" "F" "L" "O" [[7]] [1] "G" "L" "F" "O" [[8]] [1] "G" "L" "O" "F" [[9]] [1] "L" "G" "O" "F" [[10]] [1] "L" "G" "F" "O" [[11]] [1] "L" "F" "G" "O" [[12]] [1] "F" "L" "G" "O" |
![]() |
[[13]]
[1] "F" "L" "O" "G" [[14]] [1] "L" "F" "O" "G" [[15]] [1] "L" "O" "F" "G" [[16]] [1] "L" "O" "G" "F" [[17]] [1] "O" "L" "G" "F" [[18]] [1] "O" "L" "F" "G" [[19]] [1] "O" "F" "L" "G" [[20]] [1] "F" "O" "L" "G" [[21]] [1] "F" "O" "G" "L" [[22]] [1] "O" "F" "G" "L" [[23]] [1] "O" "G" "F" "L" [[24]] [1] "O" "G" "L" "F" |
# We got the permutations but they are inconveniently shown as a list of vectors.
# To convert the list to a vector of words (string) we need to first convert
# each element (vector) of the list to a string and then also convert the list
# itself to a vector. The first job can be done, using function paste that
# concatenates elements. We will first do it in classic way by traversing the
# list and converting each of its elements to a string.
# To convert the list to a vector of words (string) we need to first convert
# each element (vector) of the list to a string and then also convert the list
# itself to a vector. The first job can be done, using function paste that
# concatenates elements. We will first do it in classic way by traversing the
# list and converting each of its elements to a string.
n = length(pwords_aslist)
for (i in 1:n) {
pwords_aslist[[i]] = paste(pwords_aslist[[i]], sep='',collapse='')
}
pwords_aslist
for (i in 1:n) {
pwords_aslist[[i]] = paste(pwords_aslist[[i]], sep='',collapse='')
}
pwords_aslist
|
[[1]]
[1] "GOLF" [[2]] [1] "GOFL" [[3]] [1] "GFOL" [[4]] [1] "FGOL" [[5]] [1] "FGLO" [[6]] [1] "GFLO" [[7]] [1] "GLFO" [[8]] [1] "GLOF" [[9]] [1] "LGOF" [[10]] [1] "LGFO" [[11]] [1] "LFGO" [[12]] [1] "FLGO" |
![]() |
[[13]]
[1] "FLOG" [[14]] [1] "LFOG" [[15]] [1] "LOFG" [[16]] [1] "LOGF" [[17]] [1] "OLGF" [[18]] [1] "OLFG" [[19]] [1] "OFLG" [[20]] [1] "FOLG" [[21]] [1] "FOGL" [[22]] [1] "OFGL" [[23]] [1] "OGFL" [[24]] [1] "OGLF" |
# Next, we need to convert this ugly output (list - pwords_aslist) to a more
# compact one (vector - pwords).
# compact one (vector - pwords).
pwords = unlist(pwords_aslist)
pwords
pwords
[1] "GOLF" "GOFL" "GFOL" "FGOL" "FGLO" "GFLO" "GLFO" "GLOF" "LGOF" "LGFO"
[11] "LFGO" "FLGO" "FLOG" "LFOG" "LOFG" "LOGF" "OLGF" "OLFG" "OFLG" "FOLG"
[21] "FOGL" "OFGL" "OGFL" "OGLF"
[11] "LFGO" "FLGO" "FLOG" "LFOG" "LOFG" "LOGF" "OLGF" "OLFG" "OFLG" "FOLG"
[21] "FOGL" "OFGL" "OGFL" "OGLF"
# As we all know, R provides many opportunities for solving the same problem.
# Also, in this case we can do think differently, probably -- better.
# The above conversion of the list vector-elements to the string-elements
# can be simplified. However, we need a specialized function to convert
# a vector to a string. Notice that the above paste function uses three
# argument: s, sep, and collapse. The last two are fixed. They do not change
# inside of the above for loop. We can define our own function that will
# take only one argument (the list itself) and return a string, using the other
# arguments being set to an empty string (by default). Let's call this function
# pasteSpecial.
# Also, in this case we can do think differently, probably -- better.
# The above conversion of the list vector-elements to the string-elements
# can be simplified. However, we need a specialized function to convert
# a vector to a string. Notice that the above paste function uses three
# argument: s, sep, and collapse. The last two are fixed. They do not change
# inside of the above for loop. We can define our own function that will
# take only one argument (the list itself) and return a string, using the other
# arguments being set to an empty string (by default). Let's call this function
# pasteSpecial.
pasteSpecial = function(s) {
return ( paste(s,sep='',collapse='') )
}
return ( paste(s,sep='',collapse='') )
}
# We can now replace the for loop with a [cool] repetitive function lapply
# (apply a function to a list).
# (apply a function to a list).
pwords_aslist = lapply(pwords_aslist,pasteSpecial)
pwords_aslist
pwords_aslist
|
[[1]]
[1] "GOLF" [[2]] [1] "GOFL" [[3]] [1] "GFOL" [[4]] [1] "FGOL" [[5]] [1] "FGLO" [[6]] [1] "GFLO" [[7]] [1] "GLFO" [[8]] [1] "GLOF" [[9]] [1] "LGOF" [[10]] [1] "LGFO" [[11]] [1] "LFGO" [[12]] [1] "FLGO" |
![]() |
[[13]]
[1] "FLOG" [[14]] [1] "LFOG" [[15]] [1] "LOFG" [[16]] [1] "LOGF" [[17]] [1] "OLGF" [[18]] [1] "OLFG" [[19]] [1] "OFLG" [[20]] [1] "FOLG" [[21]] [1] "FOGL" [[22]] [1] "OFGL" [[23]] [1] "OGFL" [[24]] [1] "OGLF" |
The above procedure can be conveniently wrapped in a UDF (user-defined function). Such a function receives a string of character, word, to return a vector of the [full-set] permutations. Notice that function pasteSpecial is repeated here for convenience.
pasteSpecial = function(s) {
return ( paste(s,sep='',collapse='') )
}
fullSetPermutations = function(word) {
n = nchar(word)
lword = strsplit(word, "")
vword = lword[[1]]
pwords_aslist = combinat::permn(vword)
pwords_aslist = lapply(pwords_aslist,pasteSpecial)
return ( unlist(pwords_aslist) )
}
return ( paste(s,sep='',collapse='') )
}
fullSetPermutations = function(word) {
n = nchar(word)
lword = strsplit(word, "")
vword = lword[[1]]
pwords_aslist = combinat::permn(vword)
pwords_aslist = lapply(pwords_aslist,pasteSpecial)
return ( unlist(pwords_aslist) )
}
# Let's use this function to generate all [full-set] permutations of all the characters in string "ABC".
fullSetPermutations("ABC")
[1] "ABC" "ACB" "CAB" "CBA" "BCA" "BAC"
Notice that notation combinat::permn(vword) is a shortcut for getting function permn from library combinat.
A generalization of the full-set permutations is a sub-set permutations. Here, we want to generate or count the number of permutations of k-elements selected from a set of
n-elements. For example, in how many ways one can arrange 3 digits selected from the set of 5 digits, {1,2,3,4,5}:
{1,2,3}, {2,1,3}, {3,1,2}, {3,2,1}, {2,3,4}, etc.
This problem can be solved manually (a tedious one) or programmatically, using R library "iterpc". Let's first do the counting (an easier task).
n-elements. For example, in how many ways one can arrange 3 digits selected from the set of 5 digits, {1,2,3,4,5}:
{1,2,3}, {2,1,3}, {3,1,2}, {3,2,1}, {2,3,4}, etc.
This problem can be solved manually (a tedious one) or programmatically, using R library "iterpc". Let's first do the counting (an easier task).
# R Code
n = 5
m = 3
factorial(n)/factorial(n-m)
m = 3
factorial(n)/factorial(n-m)
[1] 60
Notice that the full-set permutation count is just factorial(5) = 120. In our case each of the permutations "ignores" 2 digits. Let's use our partial (manual) list to compare the m-element permutations with a few of the n-element ones.
| {1,2,3} | {1,2,3,4,5} {1,2,3,5,4} |
| {2,1,3} | {2,1,3,4,5} {2,1,3,5,4} |
| {3,1,2} | {3,1,2,4,5} {3,1,2,4,5} |
| {3,2,1} | {3,2,1,4,5} {3,2,1,4,5} |
| {2,3,4} | {2,3,4,1,5} {2,3,4,1,5} |
| Etc. | |
We can see that the number of the full-set permutations is reduced (n - m) = ( 5-3) = 2 times. This is why the general formula for the m-element permutations selected from the
n-element set is:
n-element set is:

Let's use the iterpc library to visualize subset permutations.
# Add package "iterpc" to R.
install.packages("iterpc")
# Open package "iterpc".
library(iterpc)
# Show all 3 element subsets selected from 5-digit data set {1,2,3,4,5}.
i = iterpc(5, 3, ordered=TRUE)
getall(i)
getall(i)
|
[,1] [,2] [,3]
[1,] 1 2 3 [2,] 1 2 4 [3,] 1 2 5 [4,] 1 3 2 [5,] 1 3 4 [6,] 1 3 5 [7,] 1 4 2 [8,] 1 4 3 [9,] 1 4 5 [10,] 1 5 2 [11,] 1 5 3 [12,] 1 5 4 [13,] 2 1 3 [14,] 2 1 4 [15,] 2 1 5 |
|
[16,] 2 3 1
[17,] 2 3 4 [18,] 2 3 5 [19,] 2 4 1 [20,] 2 4 3 [21,] 2 4 5 [22,] 2 5 1 [23,] 2 5 3 [24,] 2 5 4 [25,] 3 1 2 [26,] 3 1 4 [27,] 3 1 5 [28,] 3 2 1 [29,] 3 2 4 [30,] 3 2 5 |
|
[31,] 3 4 1
[32,] 3 4 2 [33,] 3 4 5 [34,] 3 5 1 [35,] 3 5 2 [36,] 3 5 4 [37,] 4 1 2 [38,] 4 1 3 [39,] 4 1 5 [40,] 4 2 1 [41,] 4 2 3 [42,] 4 2 5 [43,] 4 3 1 [44,] 4 3 2 [45,] 4 3 5 |
|
[46,] 4 5 1
[47,] 4 5 2 [48,] 4 5 3 [49,] 5 1 2 [50,] 5 1 3 [51,] 5 1 4 [52,] 5 2 1 [53,] 5 2 3 [54,] 5 2 4 [55,] 5 3 1 [56,] 5 3 2 [57,] 5 3 4 [58,] 5 4 1 [59,] 5 4 2 [60,] 5 4 3 |
We can also map digital elements to text elements and show the output as text. Suppose we want to form all arrangements of 2 letter subsets selected from a letter set {A,B,C}.
Notice that variable LETTERS is a built-in vector. It contains all capital letters of the basic latin alphabet. Expression LETTERS[1:3] stand for the 3 first letters.
Notice that variable LETTERS is a built-in vector. It contains all capital letters of the basic latin alphabet. Expression LETTERS[1:3] stand for the 3 first letters.
i = iterpc(3, 2, labels=LETTERS[1:3], ordered=TRUE)
getall(i)
getall(i)
[,1] [,2]
[1,] "A" "B"
[2,] "A" "C"
[3,] "B" "A"
[4,] "B" "C"
[5,] "C" "A"
[6,] "C" "B"
[1,] "A" "B"
[2,] "A" "C"
[3,] "B" "A"
[4,] "B" "C"
[5,] "C" "A"
[6,] "C" "B"
Also in this case we can wrap this procedure for getting the subset-permutations in an UDF. It is assumed that the function is getting the text input set (txtset), and the size, m, of the permutations.
For convenience the definition of the pasteSpecial function is repeated here.
pasteSpecial = function(s) {
return ( paste(s, sep='',collapse='') )
}
return ( paste(s, sep='',collapse='') )
}
subSetPermutations = function(txtset, k) {
lst = strsplit(txtset, "")
v = lst[[1]]
n = length(v)
i = iterpc::iterpc(n, m, labels=v, ordered=TRUE)
matp = iterpc::getall(i)
return ( apply(matp,MARGIN=1,pasteSpecial) )
}
lst = strsplit(txtset, "")
v = lst[[1]]
n = length(v)
i = iterpc::iterpc(n, m, labels=v, ordered=TRUE)
matp = iterpc::getall(i)
return ( apply(matp,MARGIN=1,pasteSpecial) )
}
# Let's use this function to generate all sub-set permutations of the 3 characters in string "ABCD".
subSetPermutations("ABCD",3)
[1] "ABC" "ABD" "ACB" "ACD" "ADB" "ADC" "BAC" "BAD"
[9] "BCA" "BCD" "BDA" "BDC" "CAB" "CAD" "CBA" "CBD"
[17] "CDA" "CDB" "DAB" "DAC" "DBA" "DBC" "DCA" "DCB"
[9] "BCA" "BCD" "BDA" "BDC" "CAB" "CAD" "CBA" "CBD"
[17] "CDA" "CDB" "DAB" "DAC" "DBA" "DBC" "DCA" "DCB"
Notice that notation iterpc:: is a shortcut for library iterpc.
Example - Subset Permutations:
In how many ways can letters of word "bookkeeper" be rearranged? Note that bookkeeper is the same permutation as bookkeeper.
There are the following counts of repeated letters in this word:
e 3
k 2
o 2
Since rearrangements of the same letter should be ignored, the total number of permutations
of the letters in "bookkeeper" is:
There are the following counts of repeated letters in this word:
e 3
k 2
o 2
Since rearrangements of the same letter should be ignored, the total number of permutations
of the letters in "bookkeeper" is:
# Input:
word = "bookkeeper"
en = 3
kn = 2
on = 2
en = 3
kn = 2
on = 2
# Processing:
n = nchar(word)
cnt = factorial(n)/( factorial(en) * factorial(kn) * factorial(on) )
cnt = factorial(n)/( factorial(en) * factorial(kn) * factorial(on) )
# Output:
cnt
[1] 151200
There are 151,200 permutations of the letters in "bookkeeper".
A 10-letter word with all unique letters has the following number of permutations.
A 10-letter word with all unique letters has the following number of permutations.
factorial(10)
[1] 3628800
This is 24 (6·2·2) times higher than the number of the permutation of "bookkeeper".
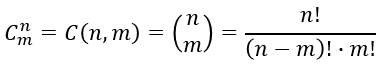
Combinations of k elements selected from a set of n elements are arrangements of the elements where all their permutations of the same elements are representing one combination. For example, permutations {a,b,c}, {a,c,b}, {b,a,c}, {b,c,a}, {c,a,b}, {c,b,a} are reduced to just one combination {a,b,c}. The number of such combinations is given by the following formula:

Comparing it to the formula for the subset permutations, we notice that the number of the combination is m! times smaller
(since all of the m-element permutations are mapped to just one combination).
Why don't we first develop another UDF to show combinations. Let's use function combn of library utils (if necessary run install.packages("utils") before completing the following case.
Why don't we first develop another UDF to show combinations. Let's use function combn of library utils (if necessary run install.packages("utils") before completing the following case.
pasteSpecial = function(s) {
return ( paste(s,sep='',collapse='') )
}
return ( paste(s,sep='',collapse='') )
}
combs = function(txtset, m) {
lst = strsplit(txtset, "")
v = lst[[1]]
matc = utils::combn(v, m, simplify = TRUE)
return ( apply(matc,MARGIN=2,pasteSpecial) )
}
lst = strsplit(txtset, "")
v = lst[[1]]
matc = utils::combn(v, m, simplify = TRUE)
return ( apply(matc,MARGIN=2,pasteSpecial) )
}
Now, to visualize how this works, consider first full set permutations of the 5-letter set ("ABCDE").
# The number of the permutations.
factorial(5)
[1] 120
# The permutations.
fullSetPermutations("ABCDE")
[1] "ABCDE" "ABCED" "ABECD" "AEBCD" "EABCD" "EABDC" "AEBDC" "ABEDC" "ABDEC"
[10] "ABDCE" "ADBCE" "ADBEC" "ADEBC" "AEDBC" "EADBC" "EDABC" "DEABC" "DAEBC"
[19] "DABEC" "DABCE" "DACBE" "DACEB" "DAECB" "DEACB" "EDACB" "EADCB" "AEDCB"
[28] "ADECB" "ADCEB" "ADCBE" "ACDBE" "ACDEB" "ACEDB" "AECDB" "EACDB" "EACBD"
[37] "AECBD" "ACEBD" "ACBED" "ACBDE" "CABDE" "CABED" "CAEBD" "CEABD" "ECABD"
[46] "ECADB" "CEADB" "CAEDB" "CADEB" "CADBE" "CDABE" "CDAEB" "CDEAB" "CEDAB"
[55] "ECDAB" "EDCAB" "DECAB" "DCEAB" "DCAEB" "DCABE" "DCBAE" "DCBEA" "DCEBA"
[64] "DECBA" "EDCBA" "ECDBA" "CEDBA" "CDEBA" "CDBEA" "CDBAE" "CBDAE" "CBDEA"
[73] "CBEDA" "CEBDA" "ECBDA" "ECBAD" "CEBAD" "CBEAD" "CBAED" "CBADE" "BCADE"
[82] "BCAED" "BCEAD" "BECAD" "EBCAD" "EBCDA" "BECDA" "BCEDA" "BCDEA" "BCDAE"
[91] "BDCAE" "BDCEA" "BDECA" "BEDCA" "EBDCA" "EDBCA" "DEBCA" "DBECA" "DBCEA"
[100] "DBCAE" "DBACE" "DBAEC" "DBEAC" "DEBAC" "EDBAC" "EBDAC" "BEDAC" "BDEAC"
[109] "BDAEC" "BDACE" "BADCE" "BADEC" "BAEDC" "BEADC" "EBADC" "EBACD" "BEACD"
[118] "BAECD" "BACED" "BACDE"
[10] "ABDCE" "ADBCE" "ADBEC" "ADEBC" "AEDBC" "EADBC" "EDABC" "DEABC" "DAEBC"
[19] "DABEC" "DABCE" "DACBE" "DACEB" "DAECB" "DEACB" "EDACB" "EADCB" "AEDCB"
[28] "ADECB" "ADCEB" "ADCBE" "ACDBE" "ACDEB" "ACEDB" "AECDB" "EACDB" "EACBD"
[37] "AECBD" "ACEBD" "ACBED" "ACBDE" "CABDE" "CABED" "CAEBD" "CEABD" "ECABD"
[46] "ECADB" "CEADB" "CAEDB" "CADEB" "CADBE" "CDABE" "CDAEB" "CDEAB" "CEDAB"
[55] "ECDAB" "EDCAB" "DECAB" "DCEAB" "DCAEB" "DCABE" "DCBAE" "DCBEA" "DCEBA"
[64] "DECBA" "EDCBA" "ECDBA" "CEDBA" "CDEBA" "CDBEA" "CDBAE" "CBDAE" "CBDEA"
[73] "CBEDA" "CEBDA" "ECBDA" "ECBAD" "CEBAD" "CBEAD" "CBAED" "CBADE" "BCADE"
[82] "BCAED" "BCEAD" "BECAD" "EBCAD" "EBCDA" "BECDA" "BCEDA" "BCDEA" "BCDAE"
[91] "BDCAE" "BDCEA" "BDECA" "BEDCA" "EBDCA" "EDBCA" "DEBCA" "DBECA" "DBCEA"
[100] "DBCAE" "DBACE" "DBAEC" "DBEAC" "DEBAC" "EDBAC" "EBDAC" "BEDAC" "BDEAC"
[109] "BDAEC" "BDACE" "BADCE" "BADEC" "BAEDC" "BEADC" "EBADC" "EBACD" "BEACD"
[118] "BAECD" "BACED" "BACDE"
Now, let's get the 3-letter permutation from the same set ("ABCDE").
# The number of the subset (3) permutations.
factorial(5)/factorial(5-3)
[1] 60
# The subset permutations.
subSetPermutations("ABCDE",3)
[1] "ABC" "ABD" "ABE" "ACB" "ACD" "ACE" "ADB" "ADC" "ADE" "AEB" "AEC" "AED"
[13] "BAC" "BAD" "BAE" "BCA" "BCD" "BCE" "BDA" "BDC" "BDE" "BEA" "BEC" "BED"
[25] "CAB" "CAD" "CAE" "CBA" "CBD" "CBE" "CDA" "CDB" "CDE" "CEA" "CEB" "CED"
[37] "DAB" "DAC" "DAE" "DBA" "DBC" "DBE" "DCA" "DCB" "DCE" "DEA" "DEB" "DEC"
[49] "EAB" "EAC" "EAD" "EBA" "EBC" "EBD" "ECA" "ECB" "ECD" "EDA" "EDB" "EDC"
[13] "BAC" "BAD" "BAE" "BCA" "BCD" "BCE" "BDA" "BDC" "BDE" "BEA" "BEC" "BED"
[25] "CAB" "CAD" "CAE" "CBA" "CBD" "CBE" "CDA" "CDB" "CDE" "CEA" "CEB" "CED"
[37] "DAB" "DAC" "DAE" "DBA" "DBC" "DBE" "DCA" "DCB" "DCE" "DEA" "DEB" "DEC"
[49] "EAB" "EAC" "EAD" "EBA" "EBC" "EBD" "ECA" "ECB" "ECD" "EDA" "EDB" "EDC"
Notice that the number of the permutation has been reduced by the number of ways the remaining letters can be arranged (here 2! = 2). For example, the first subset permutation ("ABC") has 2 corresponding full set permutations ("ABCDE","ABCED" ) because the letters that are not included in this subset permutation can be arranged in 2! = 1 · 2 = 2 ways.
Now, let's get the 3-letter combination from the same set ("ABCDE").
Now, let's get the 3-letter combination from the same set ("ABCDE").
# The number of the combinations.
factorial(5)/(factorial(5-3)*factorial(3))
[1] 10
# The combinations.
combs("ABCDE",3)
[1] "ABC" "ABD" "ABE" "ACD" "ACE" "ADE" "BCD" "BCE" "BDE" "CDE"
As we can see, the number of the combination is 6 times lower (60 / 10) than the number of the subset permutations. For each combination of 3 letters there are 3! = 1 · 2 · 3 = 6 ways the letters can be arranged in. For example, combination "ABC" has 6 permutations "ABC", "ACB", "BAC", "BCA", "CAB", "CBA".
Examples - Combinations:
Problem 1:
What is the number of outcomes of the MegaBucks Lottery?
What is the number of outcomes of the MegaBucks Lottery?
# The count of the number set (1,2,...,49) to choose from:
n = 49
# The size of one bet (the count of the number set chosen by a lottery customer):
m = 6
# The number of all possible bets (cnk). This is the number of the combinations of 6 numbers selected from the set of 49 numbers.
cnk = factorial(n)/(factorial(n-m)*factorial(m))
cnk
cnk
[1] 13983816
So, there are 13,983,816 possible outcomes and only one of them is the big MegaBucks winner.
Problem 2:
What is the number of outcomes of the PowerBall Lottery?
Problem 2:
What is the number of outcomes of the PowerBall Lottery?
# The count of the initial number set (1,2,...,69) to choose from:
n1 = 69
# The size of the main bet (the count of the initial set chosen by a lottery customer):
m1 = 5
# The count of the additional number set (1,2,...,26) to choose from:
n2 = 26
# There is just 1 number to be selected from the additional set.
m2 = 1
The number of all possible bets (cnk). This is the product of the number of the combinations of 5 numbers selected from the set of 69 numbers
and the number of the possible one-number selections from the additional set of size 26.
Notice that we apply here two counting rules: Product and Combinations.
Notice that we apply here two counting rules: Product and Combinations.
PowerBallPower = C(69,5) · C(26,1) = C(69,5) · 26
cnk = factorial(n1)/(factorial(n1-m1) * factorial(m1)) * factorial(n2)/(factorial(n2-m2) * factorial(m2))
cnk
cnk
[1] 292201338
So, there are 292,201,338 possible outcomes and only one of them is the big PowerBall winner.
How many different subsets can be selected from a set of n elements?
2n
Consider a set consisting of no elements (n = 0). This set has just one element. It is interpreted as an empty set (∅) which, in the context of probability, is interpreted as an impossible event. A set, consisting of one element (n = 1), has two subsets (here elements). They are the element itself and the empty set (element). Using a combination notation, C(n, m), standing for the number of the combinations of m elements selected from a set of n elements, we can figure out the number of possible subsets of an n-element set as. With a set of 3-elements (n = 3), the all possible subset consist of an empty set, 1-element subsets, 2-element subsets, and 3-element subsets. If we count them, we will get C(3, 0) + C(3, 1) + C(3, 2) + C(3, 3). Let's list a few examples for n = 0,1,2, and 3:
n = 0: C(0,0) = 1
n = 1: C(1,0) + C(1,1) = 1 + 1 = 2
n = 2: C(2,0) + C(2,1) + C(2,2) = 1 + 2 + 1 = 4
n = 3: C(3,0) + C(3,1) + C(3,2) + C(3,3) = 1 + 3 + 3 + 1= 8
n = 1: C(1,0) + C(1,1) = 1 + 1 = 2
n = 2: C(2,0) + C(2,1) + C(2,2) = 1 + 2 + 1 = 4
n = 3: C(3,0) + C(3,1) + C(3,2) + C(3,3) = 1 + 3 + 3 + 1= 8
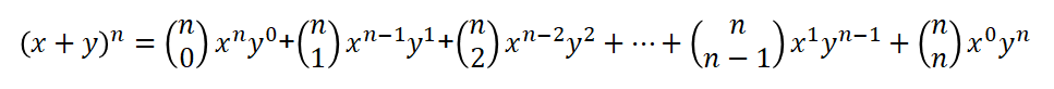
The numbers form the so call Pascal's triangle, containing coefficients of the binomial formula [Binomial Theorem].
![]() | ![]() | where | is the number of the combination of m elements selected from a set of n elements. This is a cool notation for C(n, m). |
In the Pascal's triangle, all the external numbers are equal to 1 and each internal number in row m is the sum of the two closest neighbors in the preceding row (m -1).
If we expand the above formula (without the Σ), we will see better how to combinatorial coefficients develop counts of the m- element subsets of the n-element set.
If we expand the above formula (without the Σ), we will see better how to combinatorial coefficients develop counts of the m- element subsets of the n-element set.
In order to add up just the combinatorial elements, all we need is to set x and y to 1. The formula gets reduced to the following one.

This confirms the the total number of subsets that can be produced from an n-element set is 2n.
Example - Power Set:
Since events can be interpreted as sets, we can find out how many possible events can be generated by a single roll of a die. The answer is 26 = 64. It would be boring to list them all. To name just a few:

Each event is defined between braces "{" and "}".
Exercises:
1. In how many ways one can set up tuxedos for a wedding event given the following options:
3 suits, 4 vests, 3 ties, and 5 hats?
2. There are 5 students sitting in a row. In how many ways can the student be arranged?
3. Find out in how many ways can teams of 2 players be arranged from the full set of 5 players.
4. Mass Cash is a popular lottery in Massachusetts. It draws 5 out of 35 numbers. What is the probability of winning the Jackpot (e.g. $100,000)?
5. How many events (subsets) can be produced from a sample of the coin sides, {Heads, Tails}.
Spreadsheet Solutions?
Glossary
Product Rule - if there are n instances of entity N and m instances of entity M, then there are n · m instances of both the entities..
Permutations - the number of ways a set of elements can be arranged.
Combinations - the number of unique subsets of size m that can be selected from a set of unique elements size n.
Power Set - a collection of all possible subsets of a set, including a Null subset (∅).
References:



